Упр.21.2 ГДЗ Мордкович 7 класс (Алгебра)
Решение #1

Рассмотрим вариант решения задания из учебника Мордкович, Александрова 7 класс, Мнемозина:
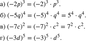
а) (-2р)3; б) (-5q)4; в) (-7с)2; г) (-3d)5
*размещая тексты в комментариях ниже, вы автоматически соглашаетесь с пользовательским соглашением