Упр.20.6 ГДЗ Мордкович 7 класс (Алгебра)
Решение #1

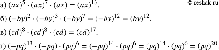
Рассмотрим вариант решения задания из учебника Мордкович, Александрова 7 класс, Мнемозина:
а) (аx)5 * (ах)7 * (ах);
б) (-by)2 * ( -bу)3 * (-bу)7;
в) (сd)8 * (cd)8 * (cd);
г) (-pq)13 * (-pq) * (pq)6.
*размещая тексты в комментариях ниже, вы автоматически соглашаетесь с пользовательским соглашением