Упр.6.8 ГДЗ Никольский Потапов 11 класс (Алгебра)
Решение #1

Рассмотрим вариант решения задания из учебника Никольский, Потапов 11 класс, Просвещение:
Найдите первообразную для функции f(x), если (6.8—6.10):
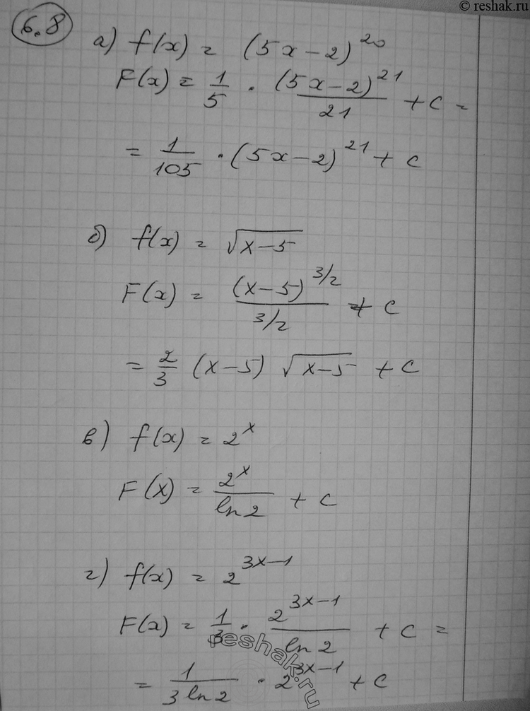
6.8 а) f(x) = (5x-2)20;
б) f(x) = корень (x-5);
в) f(x) = 2x;
г) f(x) = 2^(3x-1);
д) f(x) = 3x;
е) f(x) = 3^(2x+7);
ж) f(x) = 1/(4x-2);
з) f(x) = 1/(-5x+2);
и) f(x) = 5/(x-4).
*размещая тексты в комментариях ниже, вы автоматически соглашаетесь с пользовательским соглашением