Упр.4.73 ГДЗ Никольский Потапов 11 класс (Алгебра)
Решение #1

Рассмотрим вариант решения задания из учебника Никольский, Потапов 11 класс, Просвещение:
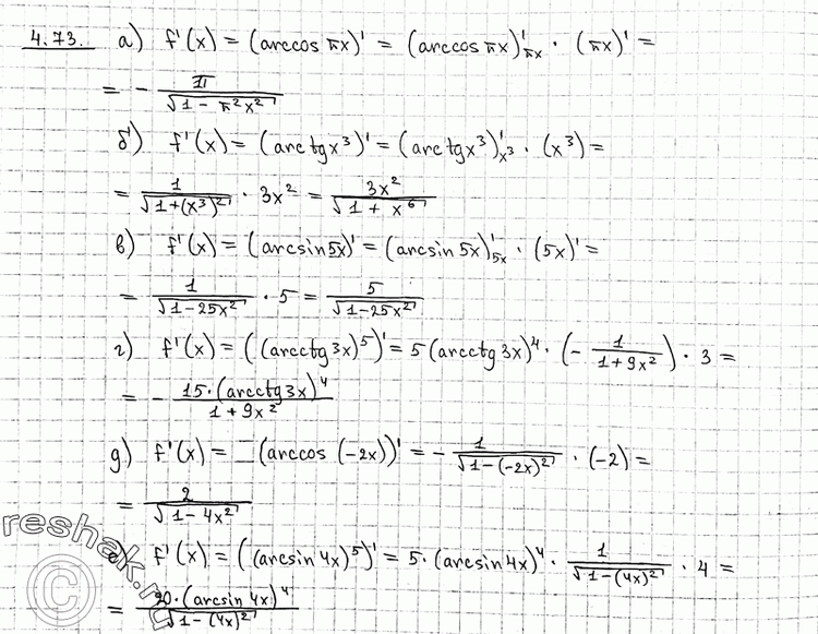
4.73 Найдите производную данной функции:
а) у= arccosпиx, x принадлежит (-1/пи;1/пи);
б) у = arctgx3 , x принадлежит R;
в) у = arcsin 5х, х принадлежит (-1/5;1/5);
г) у = (arcctg3x)5, х принадлежит R;
д) у = arccos(-2х), х принадлежит (-1/2;1/2);
е) у = (arcsin 4х)5, х принадлежит (-1/4;1/4).
е) у = (arcsin4х)°, хе —
*размещая тексты в комментариях ниже, вы автоматически соглашаетесь с пользовательским соглашением