Упр.4.72 ГДЗ Никольский Потапов 11 класс (Алгебра)
Решение #1

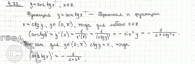
Рассмотрим вариант решения задания из учебника Никольский, Потапов 11 класс, Просвещение:
4.72 Найдите производную функции у = arcctgx, х принадлежит R.
*размещая тексты в комментариях ниже, вы автоматически соглашаетесь с пользовательским соглашением