Упр.4.27 ГДЗ Никольский Потапов 11 класс (Алгебра)
Решение #1
Решение #2

Рассмотрим вариант решения задания из учебника Никольский, Потапов 11 класс, Просвещение:
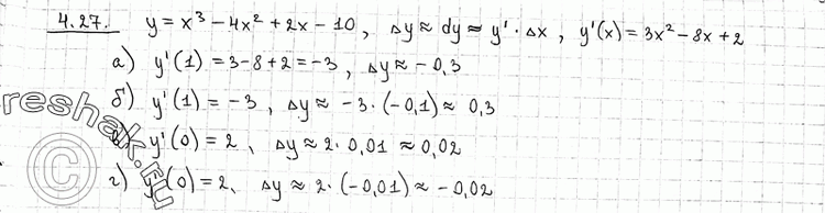
4.27 Вычислите приближенно приращение дельта у функции у = х3 - 4х2 + 2х - 10 в точке х, если:
а) х = 1, дельта х = 0,1;
б) х = 1, дельта х = -0,1;
в) х = 0, дельта х = 0,01;
г) х = 0, дельта х = -0,01.
*размещая тексты в комментариях ниже, вы автоматически соглашаетесь с пользовательским соглашением