Упр.34.11 ГДЗ Мордкович Семенов 7 класс (Алгебра)
Решение #1

Рассмотрим вариант решения задания из учебника Мордкович, Семенов, Александрова 7 класс, Бином:
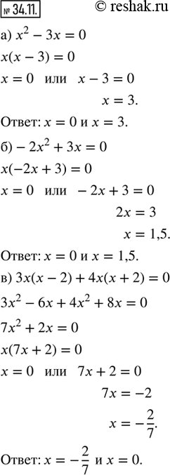
34.11. Решите уравнение:
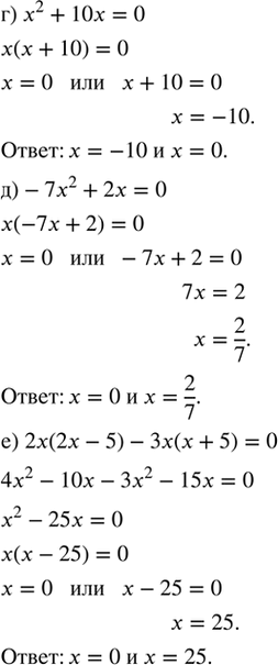
а) x^2 - 3x = 0; г) x^2 + 10x = 0;
б) -2x^2 + 3x = 0; д) -7x^2 + 2x = 0;
в) 3x(x - 2) + 4x(x + 2) = 0; е) 2x(2x - 5) - 3x(x + 5) = 0.
*размещая тексты в комментариях ниже, вы автоматически соглашаетесь с пользовательским соглашением