Упр.307 ГДЗ Никольский Потапов 7 класс (Алгебра)
Решение #1

Рассмотрим вариант решения задания из учебника Никольский, Потапов 7 класс, Просвещение:
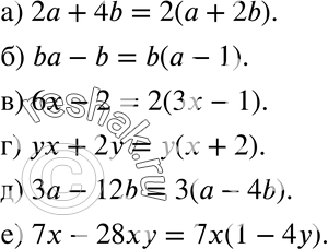
Разложите многочлен на множители (307—308):
307. а) 2а + 4b;
б) ba - b;
в) 6x - 2;
г) ух + 2у;
д) За - 12b;
е) 7х - 28ху.
*размещая тексты в комментариях ниже, вы автоматически соглашаетесь с пользовательским соглашением