Упр.2.26 ГДЗ Никольский Потапов 11 класс (Алгебра)
Решение #1

Рассмотрим вариант решения задания из учебника Никольский, Потапов 11 класс, Просвещение:
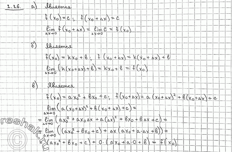
2.26 Является ли непрерывной на интервале (-бесконечность; +бесконечность) функция:
а) f(x) = C;
б) f(x) = kx+b;
в) f(x) = ax2+bx+c?
Ответ обоснуйте.
*размещая тексты в комментариях ниже, вы автоматически соглашаетесь с пользовательским соглашением