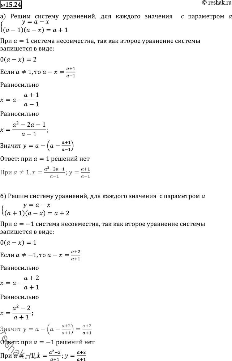
Упр.15.24 ГДЗ Никольский Потапов 11 класс (Алгебра)
Решение #1
Решение #2

Рассмотрим вариант решения задания из учебника Никольский, Потапов 11 класс, Просвещение:
Для каждого значения параметра а решите систему уравнений (15.24—15.29):
15.24 а) система
(a-1)y=a+1
x+y=a;
б) система
(a+1)y=a+2
x+y=a;
в) система
(a-1)y=a+3
x-y=a;
г) система
(a+1)y=a+4
x-y=a.
*размещая тексты в комментариях ниже, вы автоматически соглашаетесь с пользовательским соглашением