Упр.14.16 ГДЗ Никольский Потапов 11 класс (Алгебра)
Решение #1
Решение #2

Рассмотрим вариант решения задания из учебника Никольский, Потапов 11 класс, Просвещение:
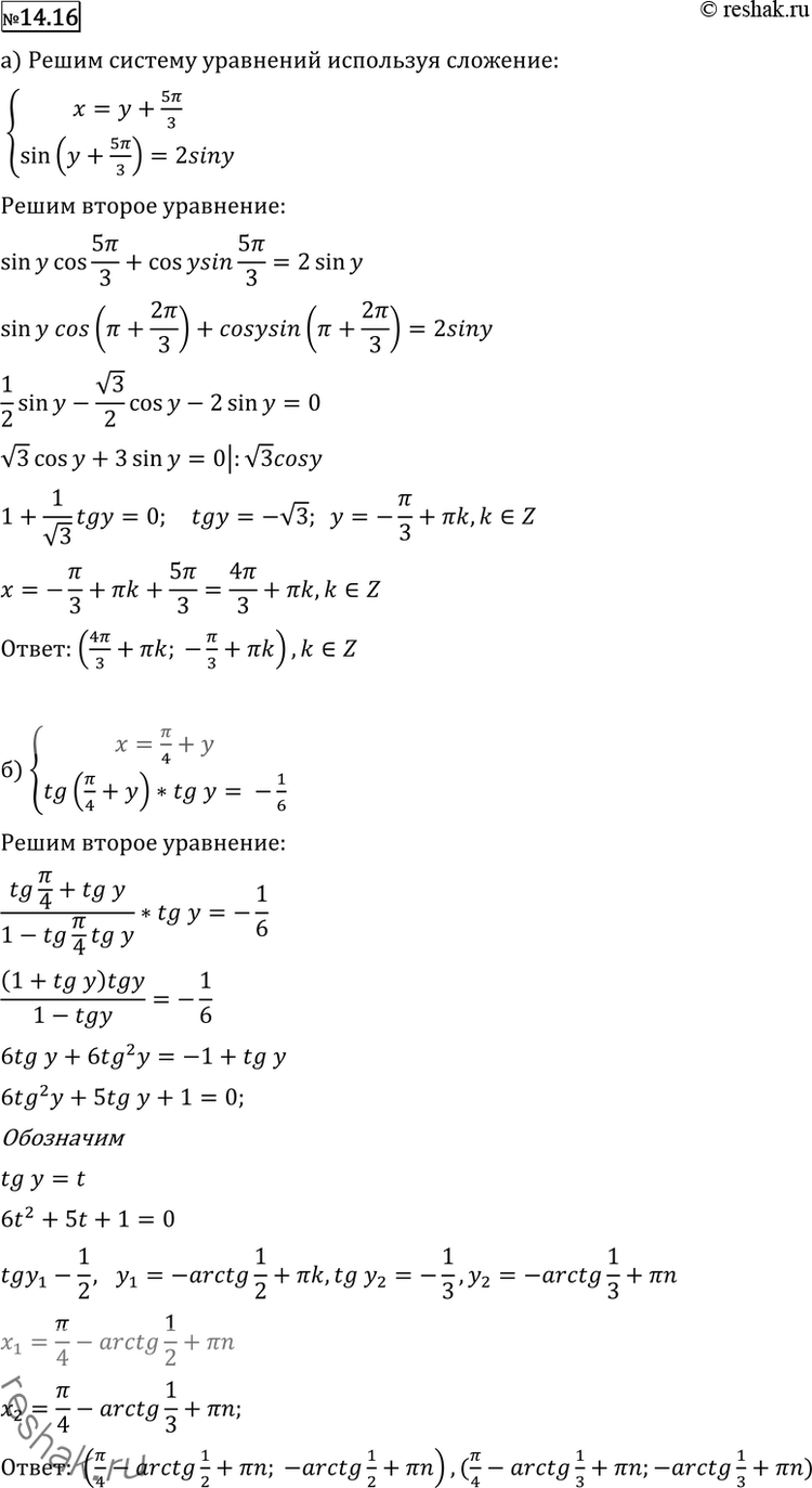
14.16* а) система
x-y=5пи/3
sinx=2siny;
б) система
tgxtgy=-1/6
x-y=пи/4;
в) система
sin^2 x + sin^2 y=3/4
x+y=5пи/12.
*размещая тексты в комментариях ниже, вы автоматически соглашаетесь с пользовательским соглашением